您好,欢迎来到乐彩汇官网!
乐彩汇
专注电气元件品牌销售服务
当前位置:首页 > 资讯中心 > 行业动态 >

知名熔断器品牌型号对照(互换)一览表

作者:天正客服 来源:未知 发表时间:2020-09-25 浏览:

熔断器主要由熔体和安装熔断器的底座组成,实际应用中熔体串联在被保护电路中,当电路发生短路故障时,熔体被瞬时熔断从而分断电路,起到保护作用。熔断器就是一种短路保护器,广泛应用于配电系统和控制系统,主要用于短路保护或过载保护。

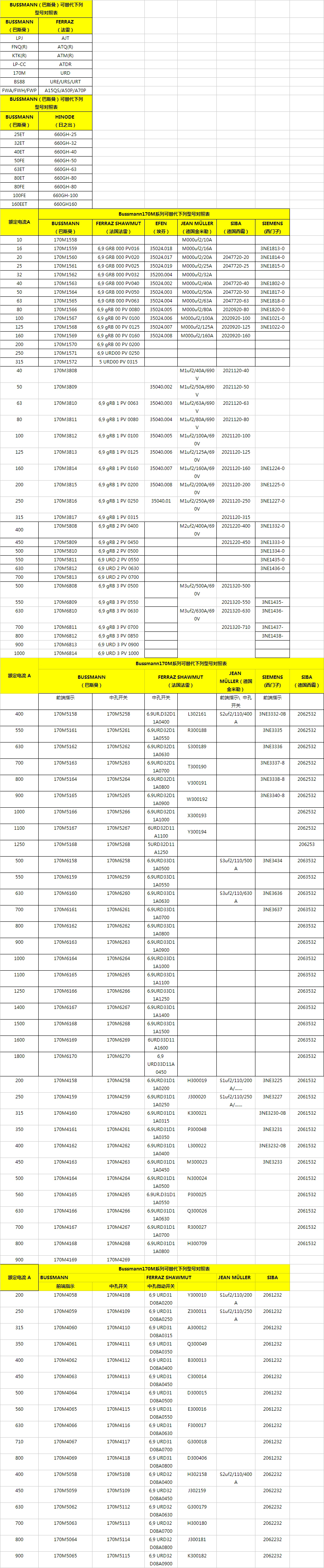
市面上较为知名的熔断器品牌有很多,诸如Bussmann(博士曼);Mersen(梅尔森);FERRAZ(法国法雷);Efen(埃芬);Jean muller(金米勒);Siba(西霸)Siemens(西门子);HINODE(日之初)等。根据实际市场需求,各品牌熔断器整体产品系列相差不大,下面就BUSSMANN欧标方体170M系列,快熔ET系列等与各品牌产品相关产品之间替换型号做一说明,供大家做选型参考,详见下表:

 

熔断器品牌型号互换表格



【相关推荐】